Visninger: 9 Forfatter: Nettstedredaktør Publiseringstid: 24-08-2023 Opprinnelse: nettsted
Polyetylentereftalat, vanligvis kjent som PET, spiller en sentral rolle på tvers av en mengde bransjer på grunn av dets mangfoldige bruksområde og er symbolisert med tallet «1». Likevel, midt i sin allestedsnærværende, forblir PET ofte en gåtefull tilstedeværelse, og fortjener en nærmere titt på dens egenskaper, omfattende bruk og miljørolle.
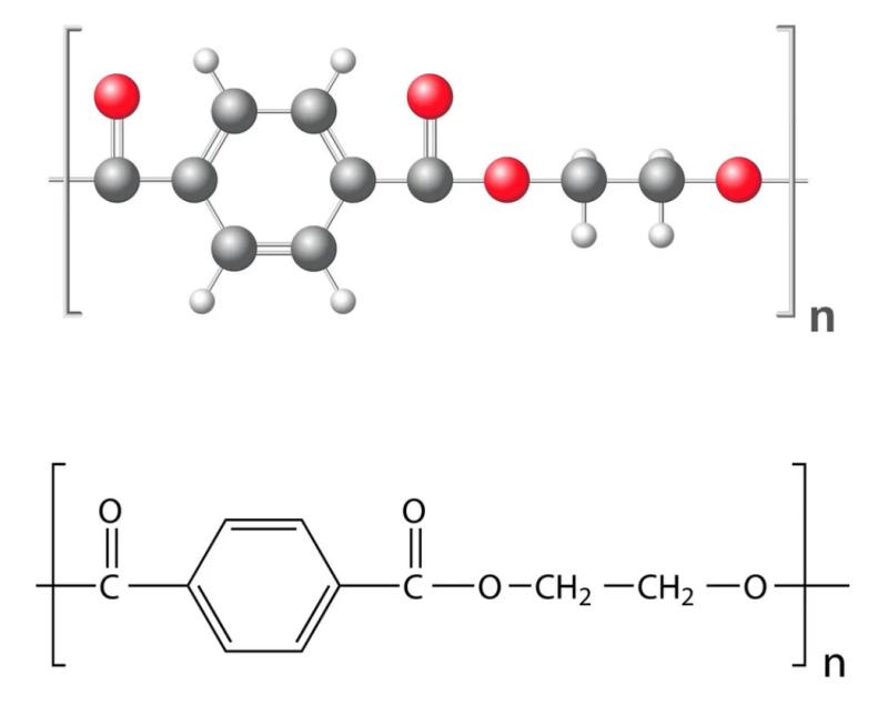
PET, eller polyetylentereftalat, står som en syntetisk polymer som får sin betydning fra dens kjemiske sammensetning representert av formelen (C10H8O4)n. I tekstilverdenen antar PET betegnelsen «polyester», mens det innen containere og emballasje tar på seg mantelen «PET-harpiks».

Det som virkelig skiller PET er dets eksepsjonelle utvalg av fysiske egenskaper som varer over et bredt spekter av temperaturer. PET har bemerkelsesverdige mekaniske egenskaper og har lang levetid selv i temperaturer så høye som 120 °C. Dens dyktighet i å opprettholde utmerkede elektriske isolasjonsegenskaper, selv under forhold med høy temperatur og frekvens, gjør det til et utvalgt materiale for en rekke bruksområder.
En av PETs viktigste roller ligger innen film og emballasje. Den fungerer elegant som grunnfjellet for et utvalg av mat-, farmasøytiske og sterile emballasjebehov. Dens kvaliteter utnyttes ytterligere i etableringen av førsteklasses emballasje for delikate instrumenter, intrikat elektronikk og tekstiler som krever et snev av sofistikert.
PETs reise gjennom emballasje har overskredet sin opprinnelse i kullsyreholdige drikker, og utviklet seg til en pålitelig følgesvenn for å huse en rekke innhold. Fra øl til spiselige oljer, krydder til legemidler og kosmetikk, PET-flasker holder et fast grep om emballasjeområdet.
Allsidigheten til PET er ikke begrenset til forbruksvarer; det streifer inn i riket av elektronikk og elektriske komponenter. Dens distribusjon strekker seg til å lage kontakter, intrikate kretser, kondensatorer og et utall av hus for elektroniske enheter og apparater som gjennomsyrer det moderne liv.
Bilsektoren finner også trøst i PET. Et bredt spekter av bilkomponenter er støpt og formet av PET, inkludert distribusjonspaneldeksler, tennspoler, ventiler, eksoselementer og målerinstrumentskall. Materialets eksepsjonelle egenskaper, inkludert utsøkte belegg, overflateglans og stivhet, gjør det uunnværlig for å lage utvendige bildeler.
Fra intrikate maskineri til hverdagsutstyr, PETs innflytelse merkes i utformingen av gir, kammer, pumpehus, trinser og motorrammer. Den utvider til og med rekkevidden til å lage mikrobølgeovnsbrett, utendørs reklametavler og intrikate modeller som fanger fantasien.

Som hjørnesteinen i drikkevare og stiv matemballasje, er PETs allestedsnærværende mest uttalt i disse sektorene. Den tilbyr et nivå av gjennomsiktighet som viser frem produkter med klarhet, mens dens kjemiske stabilitet sikrer bevaring av innholdskvaliteten. Kombinasjonen av mekanisk robusthet og motstand mot slag styrker dens rolle ytterligere i å ivareta integriteten til emballerte produkter.

Opprettelsen av PET innebærer en grundig synteseprosess der tereftalsyre og etylenglykol deltar i direkte reaksjoner. Denne prosessen utfolder seg i to hovedtrinn: esterifisering, etterfulgt av kondensasjonsreaksjoner. Den resulterende PET-harpiksen, når den først er hevet til en smeltet tilstand, forvandles til et formbart materiale, klar til å formes til en rekke former.
Å forstå PETs egenskaper mens den er i smeltet tilstand er avgjørende for vellykket prosessering. Å manipulere dens viskositet gjennom trykkendringer er et potent verktøy for å forme dens strømningsatferd. Den spennende fasetten av PETs følsomhet for fuktighet nødvendiggjør en omfattende tørkeprosess før prosessering, og sikrer dens strukturelle og materialmessige integritet.
PETs distinkte duft, frigjort når den utsettes for forbrenning, skiller den fra annen plast. Denne duften fungerer som en pålitelig markør for dens autentisitet, med en duft som er merkbart forskjellig fra den skarpe lukten som produseres av andre materialer.
Forbrenningsprosessen til PET gir visuelle signaler som avslører dens unike kvaliteter. Overveldende svartning eller rask dannelse av oljedråper under forbrenning kan signalisere uregelmessigheter i smeltepunktene, et fenomen som oftere observeres i PET-filmer.
En spennende tilnærming til å differensiere PET innebærer å utsette en smeltet tråd av materialet for en strekktest. Ved å observere omfanget av krølling i tråden og dens oppførsel når den brytes, kan du få innsikt i dens smeltepunkt og egenskaper.
PETs sikkerhetsprofil mottar validering gjennom sertifiseringer og godkjenninger fra anerkjente helse- og sikkerhetsbyråer. Institusjoner som US FDA, Health Canada, European Food Safety Authority og diverse andre har gransket og godkjent PETs bruk i mat- og drikkevarebeholdere. Dens varige sikkerhetsrekord som strekker seg over flere tiår tjener som et bevis på påliteligheten og forbrukernes tillit.

Innenfor plastområdet fremstår PET-flasker som en forkjemper for resirkulerbarhet. Designet deres egner seg iboende til effektiv gjenvinningspraksis, og tilbyr et potensial for å oppnå 100 % gjenvinningsgrad. Emballasjelandskapet har blitt revolusjonert av PETs potensial for sirkularitet, og fungerer som en hjørnestein for bærekraftige emballasjeinitiativer over hele verden.

Gjenvinningsreisen til PET-flasker er preget av flere stadier, som hver bidrar til transformasjonen fra kassert avfall til verdifulle ressurser.
Resirkuleringsprosessen utspiller seg som en koreografert sekvens:
1. Fjerning av etiketter (fjerning):
PET-flasker legger ut på resirkuleringsreisen ved å miste sin eksterne identitet. Spesialisert maskineri skreller forsiktig bort etiketter og lim, og etterlater rene PET-beholdere som er klare til å behandle.
2. Knusing og makulering:
De transformerte PET-flaskene går videre til neste trinn, hvor de blir utsatt for knusing og makulering. Denne mekaniske prosessen reduserer dem til mindre fragmenter, noe som letter etterfølgende håndtering og prosessering.
3. Sortering og klassifisering:
De nå knuste PET-fragmentene utsettes for en intrikat sorteringsprosess. Avanserte teknologier, som optiske skannere og luftklassifiserere, identifiserer og skiller PET fra andre materialer basert på deres særegne egenskaper, som farge og polymersammensetning.
4. Rengjøring og vask:
Rengjøring er et kritisk trinn som sikrer renheten til PET-materialet. PET-fragmenter vaskes omhyggelig, og fjerner eventuelle gjenværende forurensninger, etiketter og limrester. Denne grundige rengjøringsprosessen gjenoppretter materialets integritet og gjør det klar for de neste fasene.
5. Tørking:
Fuktighetsinnhold i resirkulert PET kan påvirke kvaliteten og behandlingen negativt. Dermed gjennomgår de rensede fragmentene en tørkeprosess, som sikrer at fuktighetsinnholdet bringes ned til akseptable nivåer, og derved bevare den strukturelle integriteten til materialet.
6. Pelletisering:
De tørkede PET-fragmentene blir deretter transformert til ensartede pellets gjennom en pelletiseringsprosess. Disse pellets fungerer som råstoff for ulike bruksområder, alt fra tekstiler til emballasje, elektronikk og mer.

Mens PET og PETG begge tilhører polyesterfamilien, har de distinkte egenskaper som skiller dem fra spesifikke bruksområder.
PETG, et derivat av PET, skinner når det kommer til å forme komplekse former og oppnå høye nivåer av forlengelse. En av dens unike egenskaper er dens evne til å bli behandlet uten behov for fortørking, i motsetning til andre materialer som polykarbonat (PC) eller slagmodifiserte akryl. I tillegg bidrar PETGs kortere støpesykluser og lavere prosesseringstemperaturer til høyere utbytte under produksjonen, noe som gjør det til et attraktivt valg for produsenter som søker effektivitet uten å gå på kompromiss med kvaliteten.


Polyetylentereftalat, med sine utallige anvendelser og betydning i det moderne samfunnet, er ikke lenger et mystisk bekjentskap. Reisen fra syntese til forming, resirkulering og til og med differensiering fra fetteren PETG, viser dens bemerkelsesverdige allsidighet. Som en hjørnestein i emballasje og et viktig element i ulike bransjer, understreker PETs egenskaper dens sentrale rolle i å forme vår verden bærekraftig. Reisen til PET fra et plastmateriale til en resirkulerbar ressurs er et vitnesbyrd om menneskelig innovasjon og vår forpliktelse til å redusere miljøpåvirkningen. Gjennom forståelse og ansvarlig utnyttelse fortsetter PET å bidra til en mer bærekraftig og funksjonell fremtid.